愛拼才會贏 🎶
幾何二 第1講
每日任務又出問題了? 🤠
算不出老師說的K和H
我不開心 🙂
![]() |
幾何二 第1講 當X(u , v) = ( u , v , h (u , v) ) |
![]() |
| K和H會長這樣 |
![]() |
| K和H跟老師的不match |
好 開始玩拼圖
![]() |
| 當「Xu和Xv正交」而且 | Xu | = 1, |Xv| = 1 會有
|
![]() |
K和H跟老師的match了 再用 e 和 g 搭橋可以得到
|
小結
當「Xu和Xv正交」而且 | Xu | = 1, |Xv| = 1
有
- huu = k1 , hvv = k2 , huv = f = 0
怎麼找出 z = h (u,v)
![]() |
池同學的筆記 先做「泰勒展開」 |
假設 u=0, v=0 時
「Xu和Xv正交」而且 | Xu | = 1, |Xv| = 1
則有
- huu = k1 , hvv = k2 , huv = f = 0
所以由「泰勒展開」得到的方程式為
z = (k1 x2 + k2 y2) / 2
有了方程式
來檢驗看看
![]() |
| 對任意點 huv = 0 ☑️ 但除了
其他Surface上的點都是「Xu和Xv不正交」 |
![]() |
| f 確實為 0 |
![]() |
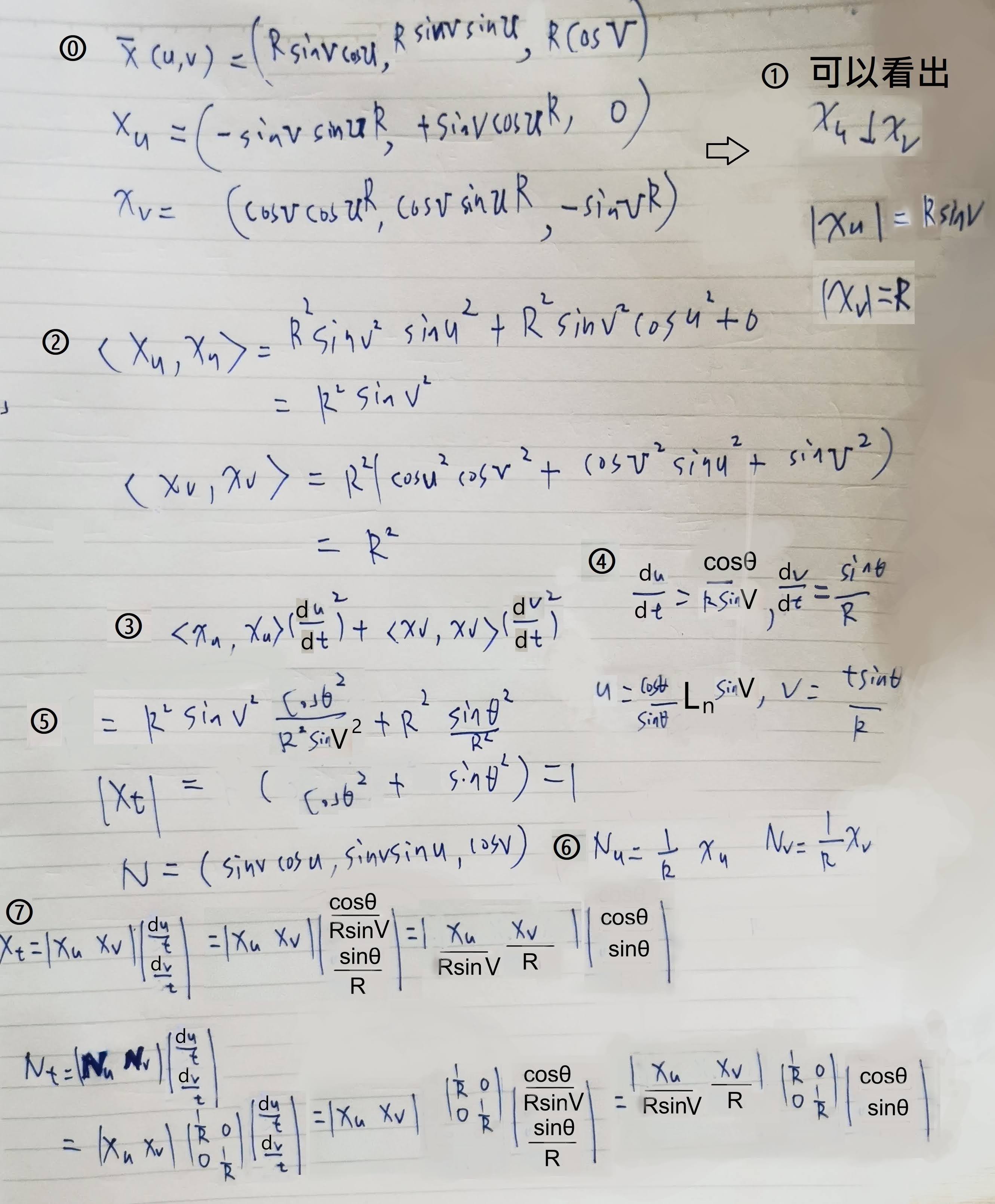
所有的Xu位在v = 0的平面上 所有的Xv位在u = 0的平面上 |
| Geogebra Xu只和水藍色曲線有關 不同v上的Xu只是水藍色曲線上Xu的平移 Xv只和紫紅色曲線有關 不同u上的Xv只是紫紅色曲線上Xv的平移 當選定1個v固定下來,Xv不變 沿著u方向,只有Xu和N會改變 N = Xu ^ Xv / | Xu ^ Xv | 但因為 N ⊥ Xv ( N不管怎麼變,都位和Xv垂直的平面上 ) 所以會有 dNp ( Xu ) ⊥ Xv 所以 - < dNp ( Xu ) , Xv > = - < Nu , Xv > = f = 0 |
| 所有Xu位在同1個平面上,Xv不變 最後所有N也會位在1個平面上 |
![]() |
葡萄美酒夜光杯 欲飲琵琶馬上催 醉臥沙場君莫笑 古來征戰幾人回 你可知道 對我做過 什麼最殘忍 就是你 狠狠把我 一夜之間 變成了大人 🎶 |
雞蛋長大了 🤠🙂 雞蛋長大了
為什麼
假設 u=0, v=0 時
「Xu和Xv正交」而且 | Xu | = 1, | Xv | = 1
推出來的Surface方程式
h (u,v) = (k1 u2 + k2 v2) / 2 , 「f = huv = 0」
會存在「Xu和Xv不正交」的點
是不是因為?
「Xu和Xv正交」一定會「f = huv = 0」
但反過來
當「f = huv = 0」未必是因為「Xu和Xv正交」
好 來算算看dN
![]() |
| dN不是對稱矩陣 |
![]() |
| 對稱矩陣的case 旋轉矩陣R可以看成1個正交座標系 上面就是A = RSR -1 R -1 V代表把V變換到Local space |
當dN不是對稱矩陣
H、K和矩陣的關系還是不變
仍然可以用 第23講 的公式得到k1 , k2
![]() |
C和上面的R不一樣,C不是正交座標系 A = CSC -1 但2X2矩陣的特徵向量不正交 不代表3維的principal direction不正交 |
![]() |
| K和矩陣的關系不變 |
![]() |
| H和矩陣的關系不變 |
![]() |
| 2個principal direction正交 (綠色和紅色直線) |
是90度真是太好了 🤠🙂 用角角結束這1回合
回顧
切平面上一定存在1組正交的X1和X2
沿著X1和X2方向有最大曲率和最小曲率 (why)
by 歐拉 1760
X1和X2形成1個正交座標系
用③可以描述
沿著(a',b')方向N會怎麼變化
當Xu和Xv正交時
「Xu和Xv」就是「X1和X2」
如果Xu和Xv沒有正交
雖然不是正交座標系
同樣可以用①來描述
沿著(a,b)方向N會怎麼變化































































